18

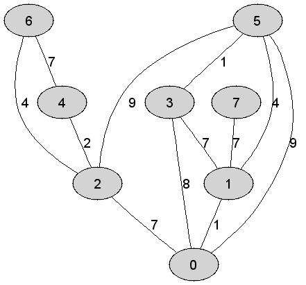
Rozważmy nieskierowany graf prosty https://edu.pjwstk.edu.pl/tex/ASDEgzaminPop/tex/pyt59008_1.gifz wagami, którego wierzchołki etykietowane są liczbami naturalnymi od https://edu.pjwstk.edu.pl/tex/ASDEgzaminPop/tex/pyt59008_2.gifdo https://edu.pjwstk.edu.pl/tex/ASDEgzaminPop/tex/pyt59008_3.gifwłącznie, zadany tabicą list sąsiedztwa postaci: https://edu.pjwstk.edu.pl/tex/ASDEgzaminPop/tex/pyt59008_4.gif, https://edu.pjwstk.edu.pl/tex/ASDEgzaminPop/tex/pyt59008_5.gif, https://edu.pjwstk.edu.pl/tex/ASDEgzaminPop/tex/pyt59008_6.gif, https://edu.pjwstk.edu.pl/tex/ASDEgzaminPop/tex/pyt59008_7.gif, https://edu.pjwstk.edu.pl/tex/ASDEgzaminPop/tex/pyt59008_8.gif, https://edu.pjwstk.edu.pl/tex/ASDEgzaminPop/tex/pyt59008_9.gif, https://edu.pjwstk.edu.pl/tex/ASDEgzaminPop/tex/pyt59008_10.gif, https://edu.pjwstk.edu.pl/tex/ASDEgzaminPop/tex/pyt59008_11.gifi przedstawiony na poniższym rysunku. Dla grafu https://edu.pjwstk.edu.pl/tex/ASDEgzaminPop/tex/pyt59008_12.gifi wierzchołka startowego https://edu.pjwstk.edu.pl/tex/ASDEgzaminPop/tex/pyt59008_13.gifstosujemy stosujemy algorytm Prima wyznaczenia minimalnego drzewa rozpinającego. Które z poniższych zdań jest prawdziwe? Uwaga! W przypadku niejednoznacznej możliwości wyboru wierzchołków, jako pierwszy wybieramy wierzchołek z mniejszą etykietą.

https://edu.pjwstk.edu.pl/tex/ASDEgzaminPop/img/PrimArray_1.gif

Wysokość minimalego drzewa rozpinającego będącego rezultatem działania algorytmu Prima jest równa dokładnie https://edu.pjwstk.edu.pl/tex/ASDEgzaminPop/tex/opc1083296_1.gif

1

+

Wysokość minimalego drzewa rozpinającego będącego rezultatem działania algorytmu Prima jest równa dokładnie https://edu.pjwstk.edu.pl/tex/ASDEgzaminPop/tex/opc1083298_1.gif

0

Liczba wierzchołków wewnętrznych w minimalym drzewie rozpinającym będącym rezultatem działania algorytmu Prima jest równa dokładnie https://edu.pjwstk.edu.pl/tex/ASDEgzaminPop/tex/opc1083305_1.gif

0

 

 

 

18

Rozważmy nieskierowany graf prosty https://edu.pjwstk.edu.pl/tex/ASDEgzaminPop/tex/pyt59023_1.gifz wagami, którego wierzchołki etykietowane są liczbami naturalnymi od https://edu.pjwstk.edu.pl/tex/ASDEgzaminPop/tex/pyt59023_2.gifdo https://edu.pjwstk.edu.pl/tex/ASDEgzaminPop/tex/pyt59023_3.gifwłącznie, zadany tabicą list sąsiedztwa postaci: https://edu.pjwstk.edu.pl/tex/ASDEgzaminPop/tex/pyt59023_4.gif, https://edu.pjwstk.edu.pl/tex/ASDEgzaminPop/tex/pyt59023_5.gif, https://edu.pjwstk.edu.pl/tex/ASDEgzaminPop/tex/pyt59023_6.gif, https://edu.pjwstk.edu.pl/tex/ASDEgzaminPop/tex/pyt59023_7.gif, https://edu.pjwstk.edu.pl/tex/ASDEgzaminPop/tex/pyt59023_8.gif, https://edu.pjwstk.edu.pl/tex/ASDEgzaminPop/tex/pyt59023_9.gif, https://edu.pjwstk.edu.pl/tex/ASDEgzaminPop/tex/pyt59023_10.gif, https://edu.pjwstk.edu.pl/tex/ASDEgzaminPop/tex/pyt59023_11.gifi przedstawiony na poniższym rysunku. Dla grafu https://edu.pjwstk.edu.pl/tex/ASDEgzaminPop/tex/pyt59023_12.gifi wierzchołka startowego https://edu.pjwstk.edu.pl/tex/ASDEgzaminPop/tex/pyt59023_13.gifstosujemy stosujemy algorytm Prima wyznaczenia minimalnego drzewa rozpinającego. Które z poniższych zdań jest prawdziwe? Uwaga! W przypadku niejednoznacznej możliwości wyboru wierzchołków, jako pierwszy wybieramy wierzchołek z mniejszą etykietą.

https://edu.pjwstk.edu.pl/tex/ASDEgzaminPop/img/PrimArray_16.gif

Wysokość minimalego drzewa rozpinającego będącego rezultatem działania algorytmu Prima jest równa dokładnie https://edu.pjwstk.edu.pl/tex/ASDEgzaminPop/tex/opc1083674_1.gif

0

Suma wag krawędzi tworzących minimalne drzewo rozpinające będące rezultatem działania algorytmu Prima jest równa dokładnie https://edu.pjwstk.edu.pl/tex/ASDEgzaminPop/tex/opc1083686_1.gif

1

+

Kolejność przyłączania wierzchołków do minimalnego drzewa rozpinającego grafu https://edu.pjwstk.edu.pl/tex/ASDEgzaminPop/tex/opc1083695_1.gifw trakcie wykonania algorytmu Prima jest następująca: https://edu.pjwstk.edu.pl/tex/ASDEgzaminPop/tex/opc1083695_2.gif

0

 

 

 

18

Rozważmy nieskierowany graf prosty z wagami, którego wierzchołki etykietowane są liczbami naturalnymi od do włącznie, zadany tabicą list sąsiedztwa postaci: , , , , , , , i przedstawiony na poniższym rysunku. Dla grafu i wierzchołka startowego stosujemy stosujemy algorytm Prima wyznaczenia minimalnego drzewa rozpinającego. Które z poniższych zdań jest prawdziwe? Uwaga! W przypadku niejednoznacznej możliwości wyboru wierzchołków, jako pierwszy wybieramy wierzchołek z mniejszą etykietą.

Suma wag krawędzi tworzących minimalne drzewo rozpinające będące rezultatem działania algorytmu Prima jest równa dokładnie

1

+

+

Liczba wierzchołków wewnętrznych w minimalym drzewie rozpinającym będącym rezultatem działania algorytmu Prima jest równa dokładnie

0

+

Kolejność przyłączania wierzchołków do minimalnego drzewa rozpinającego grafu w trakcie wykonania algorytmu Prima jest następująca:

0

+

 

 

 

18

Rozważmy nieskierowany graf prosty z wagami, którego wierzchołki etykietowane są liczbami naturalnymi od do włącznie, zadany tabicą list sąsiedztwa postaci: , , , , , , , i przedstawiony na poniższym rysunku. Dla grafu i wierzchołka startowego stosujemy stosujemy algorytm Prima wyznaczenia minimalnego drzewa rozpinającego. Które z poniższych zdań jest prawdziwe? Uwaga! W przypadku niejednoznacznej możliwości wyboru wierzchołków, jako pierwszy wybieramy wierzchołek z mniejszą etykietą.

Kolejność przyłączania wierzchołków do minimalnego drzewa rozpinającego grafu w trakcie wykonania algorytmu Prima jest następująca:

1

+

+

Kolejność przyłączania wierzchołków do minimalnego drzewa rozpinającego grafu w trakcie wykonania algorytmu Prima jest następująca:

0

Wysokość minimalego drzewa rozpinającego będącego rezultatem działania algorytmu Prima jest równa dokładnie

0

 

 

 

18

Rozważmy nieskierowany graf prosty z wagami, którego wierzchołki etykietowane są liczbami naturalnymi od do włącznie, zadany tabicą list sąsiedztwa postaci: , , , , , , , i przedstawiony na poniższym rysunku. Dla grafu i wierzchołka startowego stosujemy stosujemy algorytm Prima wyznaczenia minimalnego drzewa rozpinającego. Które z poniższych zdań jest prawdziwe? Uwaga! W przypadku niejednoznacznej możliwości wyboru wierzchołków, jako pierwszy wybieramy wierzchołek z mniejszą etykietą.

 

 

Liczba wierzchołków wewnętrznych w minimalym drzewie rozpinającym będącym rezultatem działania algorytmu Prima jest równa dokładnie

1

+

 

 

Liczba wierzchołków zewnętrznych w minimalym drzewie rozpinającym będącym rezultatem działania algorytmu Prima jest równa dokładnie

1

+

 

 

Suma wag krawędzi tworzących minimalne drzewo rozpinające będące rezultatem działania algorytmu Prima jest równa dokładnie

1

+

 

 

 

 

18

Rozważmy nieskierowany graf prosty https://edu.pjwstk.edu.pl/tex/ASDEgzaminPop/tex/pyt59034_1.gif z wagami, którego wierzchołki etykietowane są liczbami naturalnymi od https://edu.pjwstk.edu.pl/tex/ASDEgzaminPop/tex/pyt59034_2.gif do https://edu.pjwstk.edu.pl/tex/ASDEgzaminPop/tex/pyt59034_3.gif włącznie, zadany tabicą list sąsiedztwa postaci: https://edu.pjwstk.edu.pl/tex/ASDEgzaminPop/tex/pyt59034_4.gifhttps://edu.pjwstk.edu.pl/tex/ASDEgzaminPop/tex/pyt59034_5.gifhttps://edu.pjwstk.edu.pl/tex/ASDEgzaminPop/tex/pyt59034_6.gifhttps://edu.pjwstk.edu.pl/tex/ASDEgzaminPop/tex/pyt59034_7.gifhttps://edu.pjwstk.edu.pl/tex/ASDEgzaminPop/tex/pyt59034_8.gifhttps://edu.pjwstk.edu.pl/tex/ASDEgzaminPop/tex/pyt59034_9.gifhttps://edu.pjwstk.edu.pl/tex/ASDEgzaminPop/tex/pyt59034_10.gifhttps://edu.pjwstk.edu.pl/tex/ASDEgzaminPop/tex/pyt59034_11.gif i przedstawiony na poniższym rysunku. Dla grafu https://edu.pjwstk.edu.pl/tex/ASDEgzaminPop/tex/pyt59034_12.gif i wierzchołka startowego https://edu.pjwstk.edu.pl/tex/ASDEgzaminPop/tex/pyt59034_13.gif stosujemy stosujemy algorytm Prima wyznaczenia minimalnego drzewa rozpinającego. Które z poniższych zdań jest prawdziwe? Uwaga! W przypadku niejednoznacznej możliwości wyboru wierzchołków, jako pierwszy wybieramy wierzchołek z mniejszą etykietą.

https://edu.pjwstk.edu.pl/tex/ASDEgzaminPop/img/PrimArray_27.gif

Liczba wierzchołków wewnętrznych w minimalym drzewie rozpinającym będącym rezultatem działania algorytmu Prima jest równa dokładnie https://edu.pjwstk.edu.pl/tex/ASDEgzaminPop/tex/opc1083955_1.gif

0

Kolejność przyłączania wierzchołków do minimalnego drzewa rozpinającego grafu https://edu.pjwstk.edu.pl/tex/ASDEgzaminPop/tex/opc1083966_1.gif w trakcie wykonania algorytmu Prima jest następująca: https://edu.pjwstk.edu.pl/tex/ASDEgzaminPop/tex/opc1083966_2.gif

1

+

+

Liczba wierzchołków wewnętrznych w minimalym drzewie rozpinającym będącym rezultatem działania algorytmu Prima jest równa dokładnie https://edu.pjwstk.edu.pl/tex/ASDEgzaminPop/tex/opc1083953_1.gif

0

 

 

 

18

Rozważmy nieskierowany graf prosty https://edu.pjwstk.edu.pl/tex/ASDEgzaminPop/tex/pyt59023_1.gifz wagami, którego wierzchołki etykietowane są liczbami naturalnymi od https://edu.pjwstk.edu.pl/tex/ASDEgzaminPop/tex/pyt59023_2.gifdo https://edu.pjwstk.edu.pl/tex/ASDEgzaminPop/tex/pyt59023_3.gifwłącznie, zadany tabicą list sąsiedztwa postaci: https://edu.pjwstk.edu.pl/tex/ASDEgzaminPop/tex/pyt59023_4.gif, https://edu.pjwstk.edu.pl/tex/ASDEgzaminPop/tex/pyt59023_5.gif, https://edu.pjwstk.edu.pl/tex/ASDEgzaminPop/tex/pyt59023_6.gif, https://edu.pjwstk.edu.pl/tex/ASDEgzaminPop/tex/pyt59023_7.gif, https://edu.pjwstk.edu.pl/tex/ASDEgzaminPop/tex/pyt59023_8.gif, https://edu.pjwstk.edu.pl/tex/ASDEgzaminPop/tex/pyt59023_9.gif, https://edu.pjwstk.edu.pl/tex/ASDEgzaminPop/tex/pyt59023_10.gif, https://edu.pjwstk.edu.pl/tex/ASDEgzaminPop/tex/pyt59023_11.gifi przedstawiony na poniższym rysunku. Dla grafu https://edu.pjwstk.edu.pl/tex/ASDEgzaminPop/tex/pyt59023_12.gifi wierzchołka startowego https://edu.pjwstk.edu.pl/tex/ASDEgzaminPop/tex/pyt59023_13.gifstosujemy stosujemy algorytm Prima wyznaczenia minimalnego drzewa rozpinającego. Które z poniższych zdań jest prawdziwe? Uwaga! W przypadku niejednoznacznej możliwości wyboru wierzchołków, jako pierwszy wybieramy wierzchołek z mniejszą etykietą.

https://edu.pjwstk.edu.pl/tex/ASDEgzaminPop/img/PrimArray_16.gif

Kolejność przyłączania wierzchołków do minimalnego drzewa rozpinającego grafu https://edu.pjwstk.edu.pl/tex/ASDEgzaminPop/tex/opc1083694_1.gifw trakcie wykonania algorytmu Prima jest następująca: https://edu.pjwstk.edu.pl/tex/ASDEgzaminPop/tex/opc1083694_2.gif

0

Wysokość minimalego drzewa rozpinającego będącego rezultatem działania algorytmu Prima jest równa dokładnie https://edu.pjwstk.edu.pl/tex/ASDEgzaminPop/tex/opc1083674_1.gif

0

Wysokość minimalego drzewa rozpinającego będącego rezultatem działania algorytmu Prima jest równa dokładnie https://edu.pjwstk.edu.pl/tex/ASDEgzaminPop/tex/opc1083671_1.gif

1

+

 

 

 

18

Rozważmy nieskierowany graf prosty https://edu.pjwstk.edu.pl/tex/ASDEgzaminPop/tex/pyt59022_1.gifz wagami, którego wierzchołki etykietowane są liczbami naturalnymi od https://edu.pjwstk.edu.pl/tex/ASDEgzaminPop/tex/pyt59022_2.gifdo https://edu.pjwstk.edu.pl/tex/ASDEgzaminPop/tex/pyt59022_3.gifwłącznie, zadany tabicą list sąsiedztwa postaci: https://edu.pjwstk.edu.pl/tex/ASDEgzaminPop/tex/pyt59022_4.gif, https://edu.pjwstk.edu.pl/tex/ASDEgzaminPop/tex/pyt59022_5.gif, https://edu.pjwstk.edu.pl/tex/ASDEgzaminPop/tex/pyt59022_6.gif, https://edu.pjwstk.edu.pl/tex/ASDEgzaminPop/tex/pyt59022_7.gif, https://edu.pjwstk.edu.pl/tex/ASDEgzaminPop/tex/pyt59022_8.gif, https://edu.pjwstk.edu.pl/tex/ASDEgzaminPop/tex/pyt59022_9.gif, https://edu.pjwstk.edu.pl/tex/ASDEgzaminPop/tex/pyt59022_10.gif, https://edu.pjwstk.edu.pl/tex/ASDEgzaminPop/tex/pyt59022_11.gifi przedstawiony na poniższym rysunku. Dla grafu https://edu.pjwstk.edu.pl/tex/ASDEgzaminPop/tex/pyt59022_12.gifi wierzchołka startowego https://edu.pjwstk.edu.pl/tex/ASDEgzaminPop/tex/pyt59022_13.gifstosujemy stosujemy algorytm Prima wyznaczenia minimalnego drzewa rozpinającego. Które z poniższych zdań jest prawdziwe? Uwaga! W przypadku niejednoznacznej możliwości wyboru wierzchołków, jako pierwszy wybieramy wierzchołek z mniejszą etykietą.

https://edu.pjwstk.edu.pl/tex/ASDEgzaminPop/img/PrimArray_15.gif

Kolejność przyłączania wierzchołków do minimalnego drzewa rozpinającego grafu https://edu.pjwstk.edu.pl/tex/ASDEgzaminPop/tex/opc1083666_1.gifw trakcie wykonania algorytmu Prima jest następująca: https://edu.pjwstk.edu.pl/tex/ASDEgzaminPop/tex/opc1083666_2.gif

1

+

+

Suma wag krawędzi tworzących minimalne drzewo rozpinające będące rezultatem działania algorytmu Prima jest równa dokładnie https://edu.pjwstk.edu.pl/tex/ASDEgzaminPop/tex/opc1083664_1.gif

0

+

Suma wag krawędzi tworzących minimalne drzewo rozpinające będące rezultatem działania algorytmu Prima jest równa dokładnie https://edu.pjwstk.edu.pl/tex/ASDEgzaminPop/tex/opc1083665_1.gif

0

 

 

 

18

Rozważmy nieskierowany graf prosty https://edu.pjwstk.edu.pl/tex/ASDEgzaminPop/tex/pyt59035_1.gifz wagami, którego wierzchołki etykietowane są liczbami naturalnymi od https://edu.pjwstk.edu.pl/tex/ASDEgzaminPop/tex/pyt59035_2.gifdo https://edu.pjwstk.edu.pl/tex/ASDEgzaminPop/tex/pyt59035_3.gifwłącznie, zadany tabicą list sąsiedztwa postaci: https://edu.pjwstk.edu.pl/tex/ASDEgzaminPop/tex/pyt59035_4.gif, https://edu.pjwstk.edu.pl/tex/ASDEgzaminPop/tex/pyt59035_5.gif, https://edu.pjwstk.edu.pl/tex/ASDEgzaminPop/tex/pyt59035_6.gif, https://edu.pjwstk.edu.pl/tex/ASDEgzaminPop/tex/pyt59035_7.gif, https://edu.pjwstk.edu.pl/tex/ASDEgzaminPop/tex/pyt59035_8.gif, https://edu.pjwstk.edu.pl/tex/ASDEgzaminPop/tex/pyt59035_9.gif, https://edu.pjwstk.edu.pl/tex/ASDEgzaminPop/tex/pyt59035_10.gif, https://edu.pjwstk.edu.pl/tex/ASDEgzaminPop/tex/pyt59035_11.gifi przedstawiony na poniższym rysunku. Dla grafu https://edu.pjwstk.edu.pl/tex/ASDEgzaminPop/tex/pyt59035_12.gifi wierzchołka startowego https://edu.pjwstk.edu.pl/tex/ASDEgzaminPop/tex/pyt59035_13.gifstosujemy stosujemy algorytm Prima wyznaczenia minimalnego drzewa rozpinającego. Które z poniższych zdań jest prawdziwe? Uwaga! W przypadku niejednoznacznej możliwości wyboru wierzchołków, jako pierwszy wybieramy wierzchołek z mniejszą etykietą.

https://edu.pjwstk.edu.pl/tex/ASDEgzaminPop/img/PrimArray_28.gif

Liczba wierzchołków wewnętrznych w minimalym drzewie rozpinającym będącym rezultatem działania algorytmu Prima jest równa dokładnie https://edu.pjwstk.edu.pl/tex/ASDEgzaminPop/tex/opc1083980_1.gif

0

Suma wag krawędzi tworzących minimalne drzewo rozpinające będące rezultatem działania algorytmu Prima jest równa dokładnie https://edu.pjwstk.edu.pl/tex/ASDEgzaminPop/tex/opc1083986_1.gif

1

+

Liczba wierzchołków wewnętrznych w minimalym drzewie rozpinającym będącym rezultatem działania algorytmu Prima jest równa dokładnie https://edu.pjwstk.edu.pl/tex/ASDEgzaminPop/tex/opc1083976_1.gif

1

+

 

 

 

18

Rozważmy nieskierowany graf prosty https://edu.pjwstk.edu.pl/tex/ASDEgzaminPop/tex/pyt59032_1.gifz wagami, którego wierzchołki etykietowane są liczbami naturalnymi od https://edu.pjwstk.edu.pl/tex/ASDEgzaminPop/tex/pyt59032_2.gifdo https://edu.pjwstk.edu.pl/tex/ASDEgzaminPop/tex/pyt59032_3.gifwłącznie, zadany tabicą list sąsiedztwa postaci: https://edu.pjwstk.edu.pl/tex/ASDEgzaminPop/tex/pyt59032_4.gif, https://edu.pjwstk.edu.pl/tex/ASDEgzaminPop/tex/pyt59032_5.gif, https://edu.pjwstk.edu.pl/tex/ASDEgzaminPop/tex/pyt59032_6.gif, https://edu.pjwstk.edu.pl/tex/ASDEgzaminPop/tex/pyt59032_7.gif, https://edu.pjwstk.edu.pl/tex/ASDEgzaminPop/tex/pyt59032_8.gif, https://edu.pjwstk.edu.pl/tex/ASDEgzaminPop/tex/pyt59032_9.gif, https://edu.pjwstk.edu.pl/tex/ASDEgzaminPop/tex/pyt59032_10.gif, https://edu.pjwstk.edu.pl/tex/ASDEgzaminPop/tex/pyt59032_11.gifi przedstawiony na poniższym rysunku. Dla grafu https://edu.pjwstk.edu.pl/tex/ASDEgzaminPop/tex/pyt59032_12.gifi wierzchołka startowego https://edu.pjwstk.edu.pl/tex/ASDEgzaminPop/tex/pyt59032_13.gifstosujemy stosujemy algorytm Prima wyznaczenia minimalnego drzewa rozpinającego. Które z poniższych zdań jest prawdziwe? Uwaga! W przypadku niejednoznacznej możliwości wyboru wierzchołków, jako pierwszy wybieramy wierzchołek z mniejszą etykietą.

https://edu.pjwstk.edu.pl/tex/ASDEgzaminPop/img/PrimArray_25.gif

Liczba wierzchołków wewnętrznych w minimalym drzewie rozpinającym będącym rezultatem działania algorytmu Prima jest równa dokładnie https://edu.pjwstk.edu.pl/tex/ASDEgzaminPop/tex/opc1083903_1.gif

0

Liczba wierzchołków zewnętrznych w minimalym drzewie rozpinającym będącym rezultatem działania algorytmu Prima jest równa dokładnie https://edu.pjwstk.edu.pl/tex/ASDEgzaminPop/tex/opc1083906_1.gif

1

+

Wysokość minimalego drzewa rozpinającego będącego rezultatem działania algorytmu Prima jest równa dokładnie https://edu.pjwstk.edu.pl/tex/ASDEgzaminPop/tex/opc1083898_1.gif

0

 

 

 

20

Rozważmy nieskierowany graf prosty z wagami, którego wierzchołki etykietowane są liczbami naturalnymi od do włącznie, zadany tabicą list sąsiedztwa postaci: , , , , , , , i przedstawiony na poniższym rysunku. Dla grafu i wierzchołka startowego stosujemy stosujemy algorytm Prima wyznaczenia minimalnego drzewa rozpinającego. Które z poniższych zdań jest prawdziwe? Uwaga! W przypadku niejednoznacznej możliwości wyboru wierzchołków, jako pierwszy wybieramy wierzchołek z mniejszą etykietą.

Liczba wierzchołków zewnętrznych w minimalym drzewie rozpinającym będącym rezultatem działania algorytmu Prima jest równa dokładnie

0

+

Kolejność przyłączania wierzchołków do minimalnego drzewa rozpinającego grafu w trakcie wykonania algorytmu Prima jest następująca:

0

+

Wysokość minimalego drzewa rozpinającego będącego rezultatem działania algorytmu Prima jest równa dokładnie

1

+

 

 

 

18

Rozważmy nieskierowany graf prosty z wagami, którego wierzchołki etykietowane są liczbami naturalnymi od do włącznie, zadany tabicą list sąsiedztwa postaci: , , , , , , , i przedstawiony na poniższym rysunku. Dla grafu i wierzchołka startowego stosujemy stosujemy algorytm Prima wyznaczenia minimalnego drzewa rozpinającego. Które z poniższych zdań jest prawdziwe? Uwaga! W przypadku niejednoznacznej możliwości wyboru wierzchołków, jako pierwszy wybieramy wierzchołek z mniejszą etykietą.

Liczba wierzchołków zewnętrznych w minimalym drzewie rozpinającym będącym rezultatem działania algorytmu Prima jest równa dokładnie

0

Wysokość minimalego drzewa rozpinającego będącego rezultatem działania algorytmu Prima jest równa dokładnie

0

Liczba wierzchołków wewnętrznych w minimalym drzewie rozpinającym będącym rezultatem działania algorytmu Prima jest równa dokładnie

1

+

 

 

 

20

Rozważmy nieskierowany graf prosty z wagami, którego wierzchołki etykietowane są liczbami naturalnymi od do włącznie, zadany tabicą list sąsiedztwa postaci: , , , , , , , i przedstawiony na poniższym rysunku. Dla grafu i wierzchołka startowego stosujemy stosujemy algorytm Prima wyznaczenia minimalnego drzewa rozpinającego. Które z poniższych zdań jest prawdziwe? Uwaga! W przypadku niejednoznacznej możliwości wyboru wierzchołków, jako pierwszy wybieramy wierzchołek z mniejszą etykietą.

Kolejność przyłączania wierzchołków do minimalnego drzewa rozpinającego grafu w trakcie wykonania algorytmu Prima jest następująca:

0

Wysokość minimalego drzewa rozpinającego będącego rezultatem działania algorytmu Prima jest równa dokładnie

1

+

+

Liczba wierzchołków zewnętrznych w minimalym drzewie rozpinającym będącym rezultatem działania algorytmu Prima jest równa dokładnie

1

+

+

 

 

 

20

Rozważmy nieskierowany graf prosty z wagami, którego wierzchołki etykietowane są liczbami naturalnymi od do włącznie, zadany tabicą list sąsiedztwa postaci: , , , , , , , i przedstawiony na poniższym rysunku. Dla grafu i wierzchołka startowego stosujemy stosujemy algorytm Prima wyznaczenia minimalnego drzewa rozpinającego. Które z poniższych zdań jest prawdziwe? Uwaga! W przypadku niejednoznacznej możliwości wyboru wierzchołków, jako pierwszy wybieramy wierzchołek z mniejszą etykietą.

Wysokość minimalego drzewa rozpinającego będącego rezultatem działania algorytmu Prima jest równa dokładnie

0

Wysokość minimalego drzewa rozpinającego będącego rezultatem działania algorytmu Prima jest równa dokładnie

0

+

Liczba wierzchołków wewnętrznych w minimalym drzewie rozpinającym będącym rezultatem działania algorytmu Prima jest równa dokładnie

1

+

 

 

 

18

Rozważmy nieskierowany graf prosty z wagami, którego wierzchołki etykietowane są liczbami naturalnymi od do włącznie, zadany tabicą list sąsiedztwa postaci: , , , , , , , i przedstawiony na poniższym rysunku. Dla grafu i wierzchołka startowego stosujemy stosujemy algorytm Prima wyznaczenia minimalnego drzewa rozpinającego. Które z poniższych zdań jest prawdziwe? Uwaga! W przypadku niejednoznacznej możliwości wyboru wierzchołków, jako pierwszy wybieramy wierzchołek z mniejszą etykietą.

Wysokość minimalego drzewa rozpinającego będącego rezultatem działania algorytmu Prima jest równa dokładnie

0

Liczba wierzchołków wewnętrznych w minimalym drzewie rozpinającym będącym rezultatem działania algorytmu Prima jest równa dokładnie

1

+

Liczba wierzchołków zewnętrznych w minimalym drzewie rozpinającym będącym rezultatem działania algorytmu Prima jest równa dokładnie

0

 

 

 

18

Rozważmy nieskierowany graf prosty z wagami, którego wierzchołki etykietowane są liczbami naturalnymi od do włącznie, zadany tabicą list sąsiedztwa postaci: , , , , , , , i przedstawiony na poniższym rysunku. Dla grafu i wierzchołka startowego stosujemy stosujemy algorytm Prima wyznaczenia minimalnego drzewa rozpinającego. Które z poniższych zdań jest prawdziwe? Uwaga! W przypadku niejednoznacznej możliwości wyboru wierzchołków, jako pierwszy wybieramy wierzchołek z mniejszą etykietą.

Suma wag krawędzi tworzących minimalne drzewo rozpinające będące rezultatem działania algorytmu Prima jest równa dokładnie

0

+

Liczba wierzchołków wewnętrznych w minimalym drzewie rozpinającym będącym rezultatem działania algorytmu Prima jest równa dokładnie

0

Suma wag krawędzi tworzących minimalne drzewo rozpinające będące rezultatem działania algorytmu Prima jest równa dokładnie

1

+